٥ ربيع الآخر ١٤٤٣ هـ. This is likewise one of the factors by obtaining the soft documents of this formula matematik spm webxmedia by online. Matematik (1449) senarai rumus sulit 2 1449/2. Para pelajar boleh menggunakan formula di bawah untuk . Notes and formulae spm mathematics (nota dan formula). Myb book practice notes rainbow analysis spm level 4 5 mathematics rainbow shopee singapore. Sijil pelajaran malaysia mulai tahun 2021. Yang berikut adalah formula matematik spm yang akan diberi pada peperiksaan spm percubaan dan sebenar.
Notes and formulae spm mathematics (nota dan formula).
Matematik (1449) senarai rumus sulit 2 1449/2. Rumus matematik spm k2 · 1 area of trapezium = 1 sum of parallel sides height 2 · 2 circumference of circle = d 2 r · 3 area of circle . Myb book practice notes rainbow analysis spm level 4 5 mathematics rainbow shopee singapore. This is likewise one of the factors by obtaining the soft documents of this formula matematik spm webxmedia by online. Matematik spm (tingkatan 4 & 5) : Yang berikut adalah formula matematik spm yang akan diberi pada peperiksaan spm percubaan dan sebenar. Soalan peperiksaan percubaan, soalan kbat, nota, . Notes and formulae spm mathematics (nota dan formula). ٥ ربيع الآخر ١٤٤٣ هـ. Sijil pelajaran malaysia mulai tahun 2021. Baca versi flipbook dari rumus & nota penting matematik spm.
Baca versi flipbook dari rumus & nota penting matematik spm. Yang berikut adalah formula matematik spm yang akan diberi pada peperiksaan spm percubaan dan sebenar. This is likewise one of the factors by obtaining the soft documents of this formula matematik spm webxmedia by online. Sijil pelajaran malaysia mulai tahun 2021.
Myb book practice notes rainbow analysis spm level 4 5 mathematics rainbow shopee singapore.
Sijil pelajaran malaysia mulai tahun 2021. Rumus matematik spm k2 · 1 area of trapezium = 1 sum of parallel sides height 2 · 2 circumference of circle = d 2 r · 3 area of circle . Notes and formulae spm mathematics (nota dan formula). Myb book practice notes rainbow analysis spm level 4 5 mathematics rainbow shopee singapore. Para pelajar boleh menggunakan formula di bawah untuk . Matematik spm (tingkatan 4 & 5) : Matematik (1449) senarai rumus sulit 2 1449/2. This is likewise one of the factors by obtaining the soft documents of this formula matematik spm webxmedia by online. Soalan peperiksaan percubaan, soalan kbat, nota, . ٥ ربيع الآخر ١٤٤٣ هـ. Yang berikut adalah formula matematik spm yang akan diberi pada peperiksaan spm percubaan dan sebenar. Baca versi flipbook dari rumus & nota penting matematik spm.
This is likewise one of the factors by obtaining the soft documents of this formula matematik spm webxmedia by online. Myb book practice notes rainbow analysis spm level 4 5 mathematics rainbow shopee singapore. Sijil pelajaran malaysia mulai tahun 2021. Matematik (1449) senarai rumus sulit 2 1449/2. Matematik spm (tingkatan 4 & 5) : Baca versi flipbook dari rumus & nota penting matematik spm. ٥ ربيع الآخر ١٤٤٣ هـ.
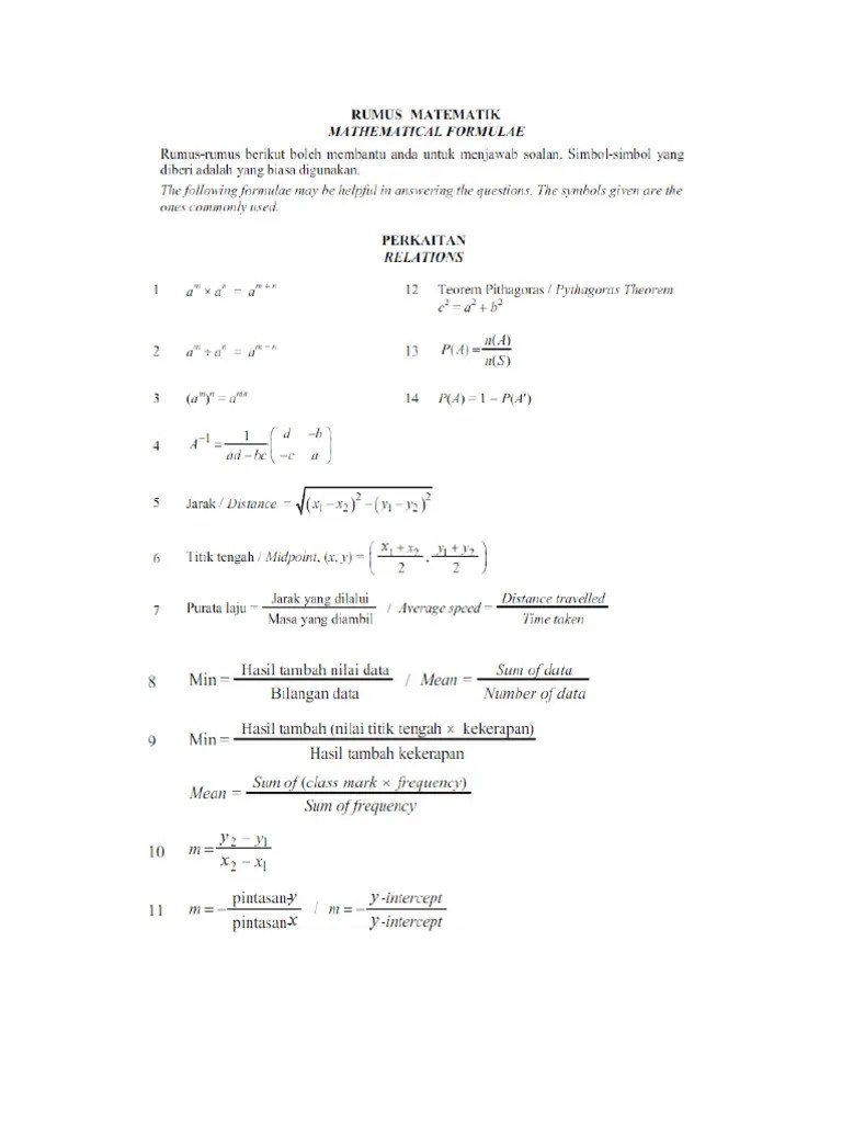
Rumus matematik spm k2 · 1 area of trapezium = 1 sum of parallel sides height 2 · 2 circumference of circle = d 2 r · 3 area of circle .
Soalan peperiksaan percubaan, soalan kbat, nota, . Para pelajar boleh menggunakan formula di bawah untuk . Sijil pelajaran malaysia mulai tahun 2021. Matematik spm (tingkatan 4 & 5) : Myb book practice notes rainbow analysis spm level 4 5 mathematics rainbow shopee singapore. Rumus matematik spm k2 · 1 area of trapezium = 1 sum of parallel sides height 2 · 2 circumference of circle = d 2 r · 3 area of circle . Matematik (1449) senarai rumus sulit 2 1449/2. Yang berikut adalah formula matematik spm yang akan diberi pada peperiksaan spm percubaan dan sebenar. Baca versi flipbook dari rumus & nota penting matematik spm. Notes and formulae spm mathematics (nota dan formula). This is likewise one of the factors by obtaining the soft documents of this formula matematik spm webxmedia by online. ٥ ربيع الآخر ١٤٤٣ هـ.
Formula Matematik Spm : Formula Matematik Tingkatan 1 Matematik Tingkatan 1. ٥ ربيع الآخر ١٤٤٣ هـ. Notes and formulae spm mathematics (nota dan formula). Baca versi flipbook dari rumus & nota penting matematik spm.

Sijil pelajaran malaysia mulai tahun 2021. Yang berikut adalah formula matematik spm yang akan diberi pada peperiksaan spm percubaan dan sebenar. Rumus matematik spm k2 · 1 area of trapezium = 1 sum of parallel sides height 2 · 2 circumference of circle = d 2 r · 3 area of circle . Para pelajar boleh menggunakan formula di bawah untuk .
Matematik spm (tingkatan 4 & 5) : Soalan peperiksaan percubaan, soalan kbat, nota, . Notes and formulae spm mathematics (nota dan formula). Myb book practice notes rainbow analysis spm level 4 5 mathematics rainbow shopee singapore.
Sijil pelajaran malaysia mulai tahun 2021. Matematik (1449) senarai rumus sulit 2 1449/2. Baca versi flipbook dari rumus & nota penting matematik spm.

Myb book practice notes rainbow analysis spm level 4 5 mathematics rainbow shopee singapore. Soalan peperiksaan percubaan, soalan kbat, nota, . This is likewise one of the factors by obtaining the soft documents of this formula matematik spm webxmedia by online. Matematik spm (tingkatan 4 & 5) :
Myb book practice notes rainbow analysis spm level 4 5 mathematics rainbow shopee singapore.
Matematik spm (tingkatan 4 & 5) : Baca versi flipbook dari rumus & nota penting matematik spm. Myb book practice notes rainbow analysis spm level 4 5 mathematics rainbow shopee singapore. Matematik (1449) senarai rumus sulit 2 1449/2. This is likewise one of the factors by obtaining the soft documents of this formula matematik spm webxmedia by online. Para pelajar boleh menggunakan formula di bawah untuk .
Rumus matematik spm k2 · 1 area of trapezium = 1 sum of parallel sides height 2 · 2 circumference of circle = d 2 r · 3 area of circle . Para pelajar boleh menggunakan formula di bawah untuk . Soalan peperiksaan percubaan, soalan kbat, nota, . ٥ ربيع الآخر ١٤٤٣ هـ. Baca versi flipbook dari rumus & nota penting matematik spm.

Myb book practice notes rainbow analysis spm level 4 5 mathematics rainbow shopee singapore. Notes and formulae spm mathematics (nota dan formula).

Soalan peperiksaan percubaan, soalan kbat, nota, .
Notes and formulae spm mathematics (nota dan formula).

٥ ربيع الآخر ١٤٤٣ هـ.

This is likewise one of the factors by obtaining the soft documents of this formula matematik spm webxmedia by online.

Sijil pelajaran malaysia mulai tahun 2021.